在 DeFi 領域中,去中心化交易所(DEX)佔有關鍵地位。昨日 SushiSwap 完成遷移計畫,也讓 Uniswap 從原本 DEX 第一把交椅的位置跌落神壇,不過這個「流動性遷移」模式也開了先例--其他的 Swap 可能使用類似的策略來對付 SushiSwap。未來將看到一場 DEX 大戰,而本文首先從 MiniSwap 談起。本文由專欄作者 藍狐筆記 撰稿,不代表動區立場。
(前情提要:捲走 Uniswap 70% 流動性!「吸血鬼」SushiSwap 遷徙過後,總鎖倉量達 12.7 億美元)
Bancor是最早進行AMM模式實踐的DEX項目,不過第一個真正實踐成功出來的項目是Uniswap。目前整個DeFi最重要的領域是DEX,而DEX中最流行的模式是AMM模式,也就是自動做市的模式,這個之前提到過很多次,可以參考筆者之前的文章。
延伸閱讀:DeFi 科普|去中心化金融竄起,你還不知道什麼是「自動做市商 AMM」?
沒有代幣激勵的Uniswap失去了一個引擎
昨天Sushiswap的流動性遷移成功實現,成功撬動Uniswap超過70%以上的流動性,並成為如今流動性最好的DEX,其當前的流動性達到13.3億美元,而它僅僅誕生才兩週的時間,而Uniswap的流動性現在連Sushiswap的35%都不到。Uniswap在短短的兩週內從流動性最好的DEX瞬間跌落到第二位。這就是加密世界的「權力的遊戲」。


這些實踐充分說明了Uniswap對代幣經濟體系的不夠重視,對社群發展的不夠重視,在Sushiswap大張旗鼓地進行「流動性遷移攻擊」的兩週時間內竟然沒有做出任何應對措施。
這給其他的swap留下了很大的機會。這也說明了目前DeFi的DEX還處於早期階段,並沒有絕對的牢不可破的護城河。後來的各種Swap也有機會。甚至剛剛榮升DEX流動性第一位的Sushiswap的護城河也不是牢不可破的。因為其他的Swap可以使用類似的策略來對付SushiSwap,可以說,SushiSwap只是拉開了DEX大戰的序幕。
要想在DEX上構築護城河,需要最大限度地調動社群的力量,需要設計出一個兼顧短期快速起勢和長期可持續發展的經濟激勵體系,缺一不可。後續我們會關注更多的各種swap。今天聊的是Miniswap在DEX方面的探索。
Miniswap的DEX探索
Miniswap的初啟動
作為AMM模式,Miniswap跟Uniswap的自動做市模式類似。目前看,Miniswap剛剛推出兩天,有超過2000萬美元的流動性,交易量超過200萬美元。其中,流動性超過100萬美元的代幣池達到9個,主要代幣池ETH/USDT,MINI/ETH,LINK/ETH,YAMv2/ETH等,有不錯的冷啟動。這意味著如果不是大規模兌換,這些代幣對的交易滑點不會太高。


Miniswap跟Uniswap有什麼不同?
Miniswap跟Uniswap最大的不同之處在其代幣激勵機制。在Miniswap的生態中,有三個重要的參與者。一是流動性提供者,二是交易者,三是代幣持有者。這三者在Miniswap中都有利益的激勵。
首先來看看,Miniswap在對待流動性提供者跟Uniswap有什麼不同?
Miniswap上的流動性提供者激勵
跟Uniswap類似,流動性提供者需要向代幣池存入兩種代幣,比如ETH/SUSHI。當用戶存入10ETH,那麼按照當前的價格,用戶需要同時存入1190.66個 SUSHI。
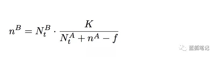
當代幣池中有兩種代幣之後,交易者就可以進行兌換。比如用戶使用A代幣兌換B代幣,其中,f為交易手續費,N^A為交易者試圖購買代幣的數量,N^B為交易者獲得的代幣數量。
那麼交易者會獲得按如下公式得出的代幣B數量:

MiniSwap跟Uniswap最大的不同是它為流動性提供者提供了代幣MINI的激勵。
目前每天有上限為50萬的MINI代幣供流動性提供者挖礦,按照目前的MINI市場價格,目前每天有9萬美元可以供流動性提供者捕獲。
此外,Miniswap流動性提供者也可以捕獲交易費用,其交易費用根據用戶為流動性池提供的比例大小而定。
對交易者的激勵
在DEX的生態中,除了流動性提供者之外,交易者也是生態的重要參與者。為了形成正向循環,Miniswap也引入了交易者激勵機制。這是Uniswap還沒有的。
具體來說,交易者在Miniswap上進行交易後,需要支付一定比例的手續費。不過根據用戶手續費的規模,Miniswap會返還用戶MINI代幣。也就是說,在Miniswap上,不僅流動性提供者有挖礦收益,作為交易者也有挖礦收益。
這一點在項目早期利於吸引足夠的流動性,對形成交易正向循環很重要。只有流動性提供者,沒有交易者就無法產生協議的費用和收益。通過為早期交易者提供代幣激勵,可以在一定程度上解決交易者冷啟動的問題。
目前Miniswap每天的交易挖礦收益跟每天的流動性提供者的挖礦收益激勵量級一致,都是50萬個MINI代幣上限。也就是按照當前價格,每天大約有9萬美元的代幣獎勵上限。
對代幣持有人的激勵
除了流動性提供者和交易者之外,代幣持有人也可以跟協議長遠利益保持一致。所有MINI代幣持有人都可以獲得不定期的分紅。這也是跟Uniswap最大的不同之一。
在Uniswap上,流動性提供者更像是僱傭軍,當用戶提供完流動性,獲得費用收益之後,一旦退出流動性,就跟協議再也沒有什麼關係了。也就是說,協議的長遠利益跟流動性提供者本身關係不大。
但是,有了協議代幣的激勵,流動性提供者有機會捕獲協議的長遠收益。這個收益表現之一,一是代幣價值隨著交易規模上漲而增加,二是還可以獲得額外的分紅。
目前Miniswap的分紅方式是,Miniswap合約會掃描以太坊鏈上各個錢包中MINI代幣數量,同時根據用戶錢包中MINI代幣的數量在流通MINI代幣中的比例,進行不定期的分紅發放。
那麼,分紅的資金從何而來?
首先Miniswap交易中可以產生0.3%的手續費,其中手續費會用於買入MINI代幣。這些買入的MINI代幣中,其中的50% 用於返還給MINI代幣持有人,這也就是分紅的來源。剩餘的50%MINI代幣則被銷毀。由於MIN總供應量為10億,也就是說MINI還是通縮的代幣。
延伸閱讀:以太坊共同創辦人 Vitalik 砲轟:「DeFi 流動性挖礦」就像是央行瘋狂印鈔
MINI的價值捕獲
MINI的價值最終主要取決於其平台的手續費用。而手續費用主要取決於協議的交易量規模。交易量越大,手續費就越多。手續費用越多,對MINI形成的買入就越大,從而對其價值產生支撐的作用。
為了推動其交易規模的上漲,一是要有更好的用戶體驗,尤其是在交易滑點方面,要想有低的交易滑點,需要流動性提供者提供更多的流動性。而有了更低的交易滑點,交易者也更願意在Miniswap上交易。
此外,引導交易量上漲最關鍵的滿足用戶的代幣交易需求。一些高質量的代幣如果能夠最早挖掘並上線,也有機會推動交易規模的上漲。
最終來說,Miniswap能達到多高的高度,主要取決於交易者、流動性提供者以及持幣者的積極參與的深度。
Miniswap與DeFi
Miniswap目前是DEX為主,從它的路線圖看,它還試圖支持各種去中心化金融產品。後續有計劃引入美式選擇權、美式選擇權保險產品,最後還有跨鏈DEX交易。
未來當用戶在Miniswap上購買一定數量的選擇權權益之後,系統會根據行情來確定用戶的盈利或虧損。
選擇權產品可以讓用戶在不遲於約定時間以預先確定的價格購買或出售資產。預先確定的價格為行權價格、約定的時間為行權週期。而選擇權還有選擇權價格:選擇權價格是行權價格和現行價格的差異。看漲選擇權,其價值主要看基礎價格減去行權價格的價值;看跌選擇權的價值則通過行權價格減去基礎價格而來。
此外,當用戶購買選擇權時,還可以選擇購買選擇權保險。在某些情況下,當用戶購買選擇權產生虧損,選擇權保險可以給予用戶一定數量的賠付。
最後,Miniswap計劃在其產品成熟之後,進行跨鏈的交易,引入Cosmos和原子兌換協議等技術,以實現跨鏈的點對點交易。
延伸閱讀:專欄觀點|錯失 DeFi Hype,加密衍生品先鋒 BitMEX 正在「變老」?
DEX世界的「權力遊戲」
Sushiswap對Uniswap為期兩週的「流動性撬動」之戰初步取得成功。這一實踐說明,DEX的格局還遠遠沒有到終局。
接下來,Uniswap可能會反擊,比如推出更好的產品,推出代幣的激勵機制。其他各種swap也會逐步引起大家注意,在這個過程中,一定會存在流動性挖礦的爭奪戰。
誰能在流動性挖礦過程中有更好的機制設計,更好的可持續收益,那麼最終來說,誰就有可能在DEX爭奪中取得領先的位置。
另外一個層面,由於最終各種DEX之間也存在一定的均勢,不可能只剩下一兩家DEX。因為不同的Swap都有自己的收益點,都有自己的根據地,在某些點上有自己的優勢。
不過,雖然DEX有可能會分散,但最終來說,會有幾家聚集最大的流動性和交易量,這是跟DEX自身的價值捕獲模式相關的。
DEX不管發行多少代幣,怎麼分配代幣,是分給機構,還是分給社群,其價值都根源於交易規模,交易規模越大,捕獲的費用越多。當捕獲的費用越多,最終會傳導到代幣的價值上。誰率先形成可持續的正向循環,誰將取得真正的領先。
如何形成正向循環?一開始要有足夠的收益吸引力,給予流動性提供者和交易者一定的代幣激勵,而代幣本身的價格在冷啟動過程中也扮演重要角色,它會刺激更大的流動性提供者和交易者參與進來,從而推動短期勢能的發展。
這裡特別需要注意是,在DEX之戰中,一定要快速迭代,要採用長短結合的激勵措施,不僅要有長期的可持續發展激勵,也要有短期內快速拉升的激勵措施。一旦DEX的勢能起來,就有天然的推動力。
此外,由於市場變化太快,隨時要迭代機制,跟社群一起,快速推進,這些都是如今DEX之戰給項目方和社群的重大啟示。
DEX之戰遠未結束,期待Miniswap,還有其他的各種Swap一起,探索出DEX的可持續發展之路!
📍相關報導📍
兩分鐘致富!一名DeFi投資者用「200元」賺進29萬美金,連帶使SYFI崩跌99%
DeFi 數據|風口上的 AMM DEX:流動性暴漲 300% ,「SUSHI 主廚」吃相難看…
DeFi 科普|關於 Uniswap V2 迭代,你該知道的所有事
讓動區 Telegram 新聞頻道再次強大!!立即加入獲得第一手區塊鏈、加密貨幣新聞報導。
LINE 與 Messenger 不定期為大家服務

